Официальное опубликование правовых актов
ОФИЦИАЛЬНОЕ ОПУБЛИКОВАНИЕ
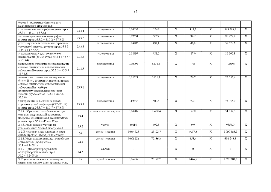
Постановление Правительства Ивановской области от 15.02.2022 № 71-п
"Об утверждении Территориальной программы государственных гарантий бесплатного оказания гражданам медицинской помощи на территории Ивановской области на 2022 год и на плановый период 2023 и 2024 годов"
Номер опубликования: 3700202202180004
Дата опубликования: 18.02.2022
Страница №84 из 103:
Увеличить