Официальное опубликование правовых актов
ОФИЦИАЛЬНОЕ ОПУБЛИКОВАНИЕ
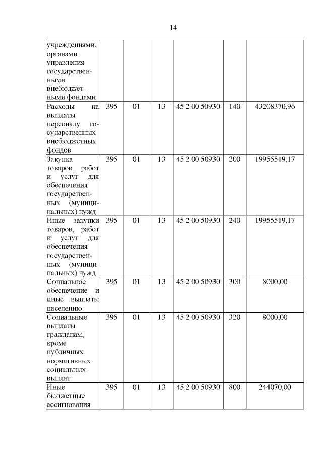
Закон Ивановской области от 27.12.2021 № 102-ОЗ
"О внесении изменений в Закон Ивановской области "О бюджете территориального фонда обязательного медицинского страхования Ивановской области на 2021 год и на плановый период 2022 и 2023 годов"
Номер опубликования: 3700202112280002
Дата опубликования: 28.12.2021
Страница №14 из 28:
Увеличить