Официальное опубликование правовых актов
ОФИЦИАЛЬНОЕ ОПУБЛИКОВАНИЕ
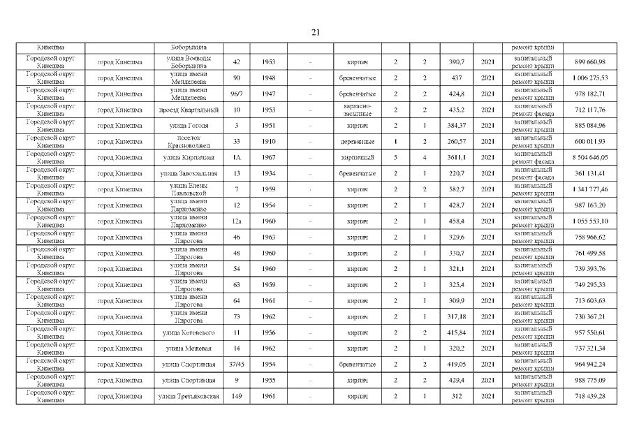
Постановление Правительства Ивановской области от 01.04.2021 № 162-п
"О внесении изменения в постановление Правительства Ивановской области от 05.10.2020 № 487-п "Об утверждении краткосрочного плана реализации региональной программы капитального ремонта общего имущества в многоквартирных домах, расположенных на территории Ивановской области, на 2021 – 2023 годы"
Номер опубликования: 3700202104020018
Дата опубликования: 02.04.2021
Страница №21 из 117:
Увеличить