Официальное опубликование правовых актов
ОФИЦИАЛЬНОЕ ОПУБЛИКОВАНИЕ
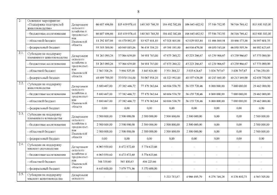
Постановление Правительства Ивановской области от 25.02.2021 № 98-п
"О внесении изменений в постановление Правительства Ивановской области от 13.11.2013 № 451-п "Об утверждении государственной программы Ивановской области "Развитие сельского хозяйства и регулирование рынков сельскохозяйственной продукции, сырья и продовольствия Ивановской области"
Номер опубликования: 3700202103030012
Дата опубликования: 03.03.2021
Страница №8 из 17:
Увеличить