Официальное опубликование правовых актов
ОФИЦИАЛЬНОЕ ОПУБЛИКОВАНИЕ
Постановление Правительства Ивановской области от 28.01.2021 № 22-п
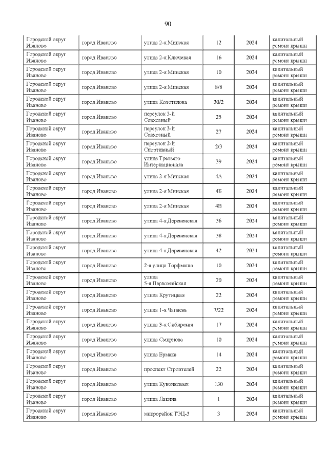
"О внесении изменений в постановление Правительства Ивановской области от 30.04.2014 № 164-п "Об утверждении региональной программы капитального ремонта общего имущества в многоквартирных домах, расположенных на территории Ивановской области"
Номер опубликования: 3700202102020016
Дата опубликования: 02.02.2021
Страница №90 из 608:
Увеличить