Официальное опубликование правовых актов
ОФИЦИАЛЬНОЕ ОПУБЛИКОВАНИЕ
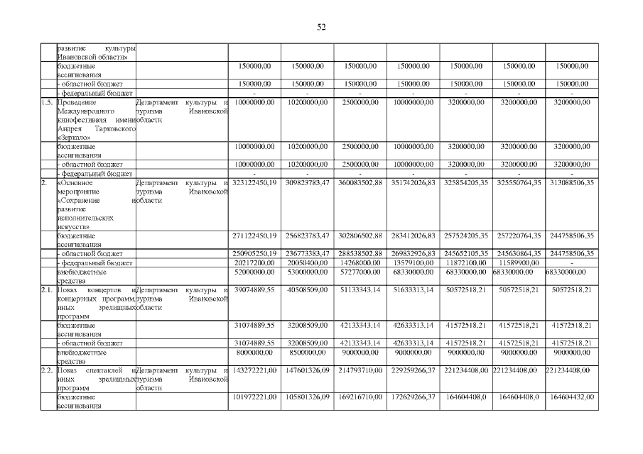
Постановление Правительства Ивановской области от 27.01.2021 № 6-п
"О внесении изменений в постановление Правительства Ивановской области от 06.12.2017 № 455-п "Об утверждении государственной программы Ивановской области "Развитие культуры и туризма в Ивановской области"
Номер опубликования: 3700202101290015
Дата опубликования: 29.01.2021
Страница №52 из 79:
Увеличить