Официальное опубликование правовых актов
ОФИЦИАЛЬНОЕ ОПУБЛИКОВАНИЕ
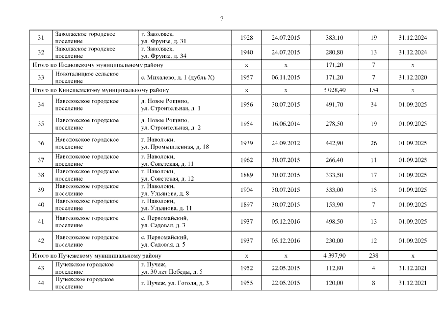
Постановление Правительства Ивановской области от 27.01.2021 № 5-п
"О внесении изменений в постановление Правительства Ивановской области от 09.04.2019 № 131-п "Об утверждении региональной адресной программы "Переселение граждан из аварийного жилищного фонда на территории Ивановской области на 2019 - 2025 годы"
Номер опубликования: 3700202101290004
Дата опубликования: 29.01.2021
Страница №7 из 20:
Увеличить