Официальное опубликование правовых актов
ОФИЦИАЛЬНОЕ ОПУБЛИКОВАНИЕ
Постановление Правительства Ивановской области от 23.12.2020 № 656-п
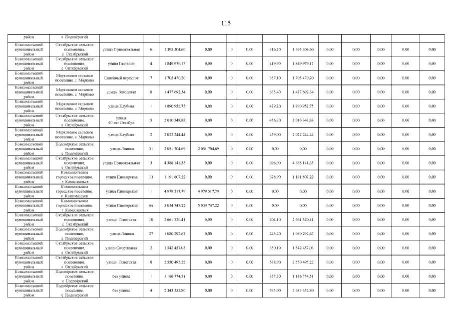
"О внесении изменения в постановление Правительства Ивановской области от 24.01.2018 № 22-п "Об утверждении краткосрочного плана реализации региональной программы капитального ремонта общего имущества в многоквартирных домах, расположенных на территории Ивановской области, на 2018 – 2020 годы"
Номер опубликования: 3700202012290001
Дата опубликования: 29.12.2020
Страница №115 из 135:
Увеличить