Официальное опубликование правовых актов
ОФИЦИАЛЬНОЕ ОПУБЛИКОВАНИЕ
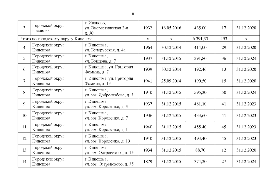
Постановление Правительства Ивановской области от 23.12.2020 № 653-п
"О внесении изменений в постановление Правительства Ивановской области от 09.04.2019 № 131-п "Об утверждении региональной адресной программы "Переселение граждан из аварийного жилищного фонда на территории Ивановской области на 2019 - 2025 годы"
Номер опубликования: 3700202012280001
Дата опубликования: 28.12.2020
Страница №6 из 22:
Увеличить