Постановление Правительства Ивановской области от 12.11.2020 № 562-п
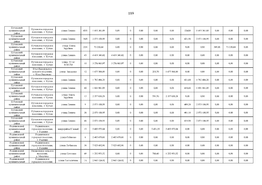
"О внесении изменения в постановление Правительства Ивановской области от 24.01.2018 № 22-п "Об утверждении краткосрочного плана реализации региональной программы капитального ремонта общего имущества в многоквартирных домах, расположенных на территории Ивановской области, на 2018 – 2020 годы"
"О внесении изменения в постановление Правительства Ивановской области от 24.01.2018 № 22-п "Об утверждении краткосрочного плана реализации региональной программы капитального ремонта общего имущества в многоквартирных домах, расположенных на территории Ивановской области, на 2018 – 2020 годы"
Номер опубликования: 3700202011130018
Дата опубликования:
13.11.2020
