Официальное опубликование правовых актов
ОФИЦИАЛЬНОЕ ОПУБЛИКОВАНИЕ
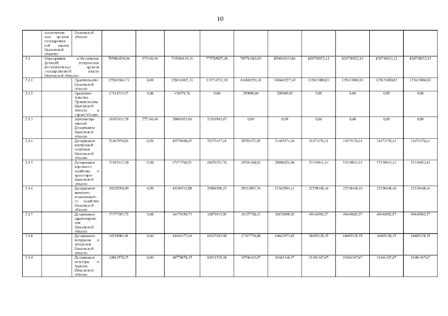
Постановление Правительства Ивановской области от 22.10.2020 № 527-п
"О внесении изменений в постановление Правительства Ивановской области от 13.11.2013 № 454-п "Об утверждении государственной программы Ивановской области "Совершенствование институтов государственного управленияи местного самоуправления Ивановской области"
Номер опубликования: 3700202010230004
Дата опубликования: 23.10.2020
Страница №10 из 14:
Увеличить