Официальное опубликование правовых актов
ОФИЦИАЛЬНОЕ ОПУБЛИКОВАНИЕ
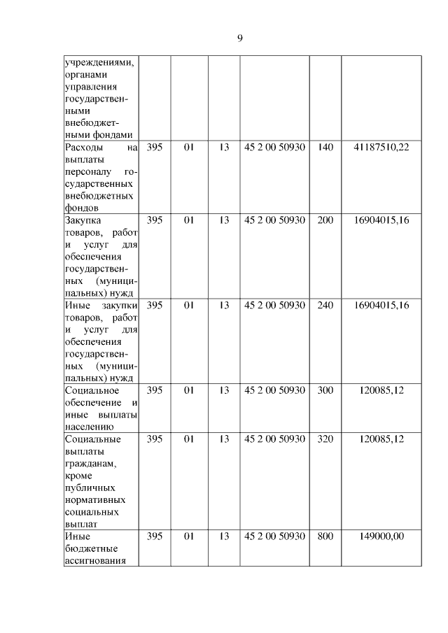
Закон Ивановской области от 06.05.2020 № 24-ОЗ
"О внесении изменений в Закон Ивановской области "О бюджете территориального фонда обязательного медицинского страхования Ивановской области на 2020 год и на плановый период 2021 и 2022 годов"
Номер опубликования: 3700202005060002
Дата опубликования: 06.05.2020
Страница №9 из 19:
Увеличить