Постановление Правительства Ивановской области от 10.03.2020 № 89-п
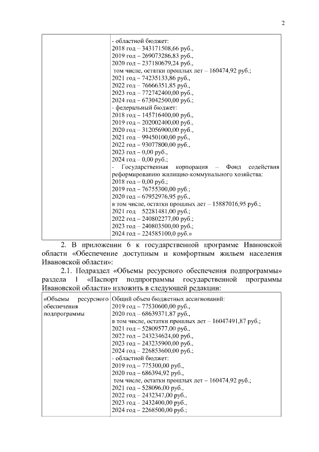
"О внесении изменений в постановление Правительства Ивановской области от 06.12.2017 № 460-п "Об утверждении государственной программы Ивановской области "Обеспечение доступным и комфортным жильем населения Ивановской области"
"О внесении изменений в постановление Правительства Ивановской области от 06.12.2017 № 460-п "Об утверждении государственной программы Ивановской области "Обеспечение доступным и комфортным жильем населения Ивановской области"
Номер опубликования: 3700202003120019
Дата опубликования:
12.03.2020
