Официальное опубликование правовых актов
ОФИЦИАЛЬНОЕ ОПУБЛИКОВАНИЕ
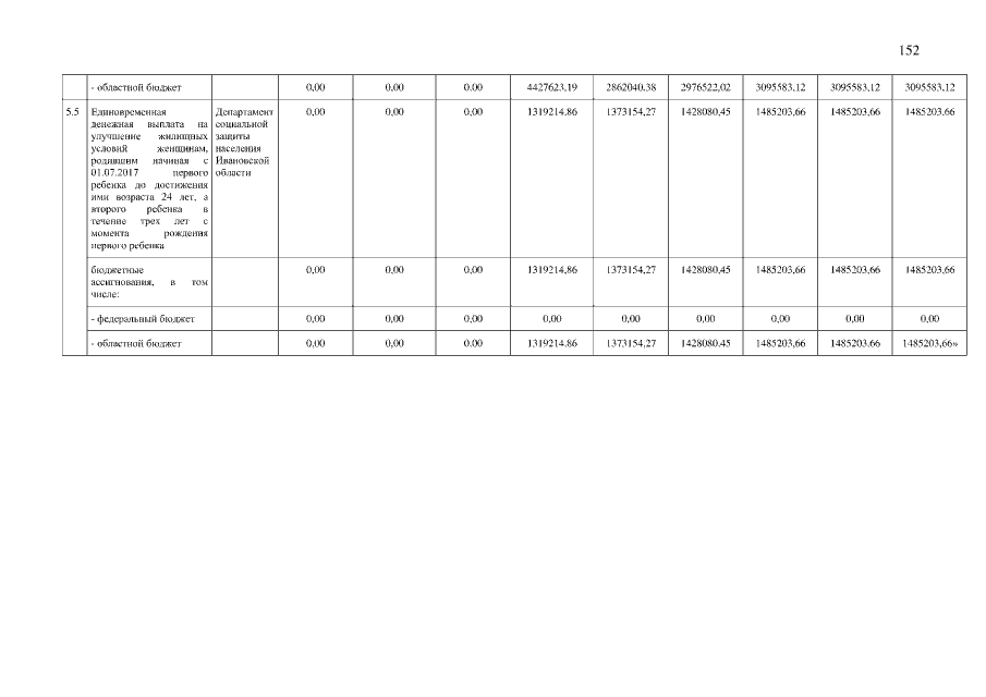
Постановление Правительства Ивановской области от 25.02.2020 № 71-п
"О внесении изменений в постановление Правительства Ивановской области от 15.10.2013 № 393-п "Об утверждении государственной программы Ивановской области "Социальная поддержка граждан в Ивановской области"
Номер опубликования: 3700202002260002
Дата опубликования: 26.02.2020
Страница №152 из 189:
Увеличить