Официальное опубликование правовых актов
ОФИЦИАЛЬНОЕ ОПУБЛИКОВАНИЕ
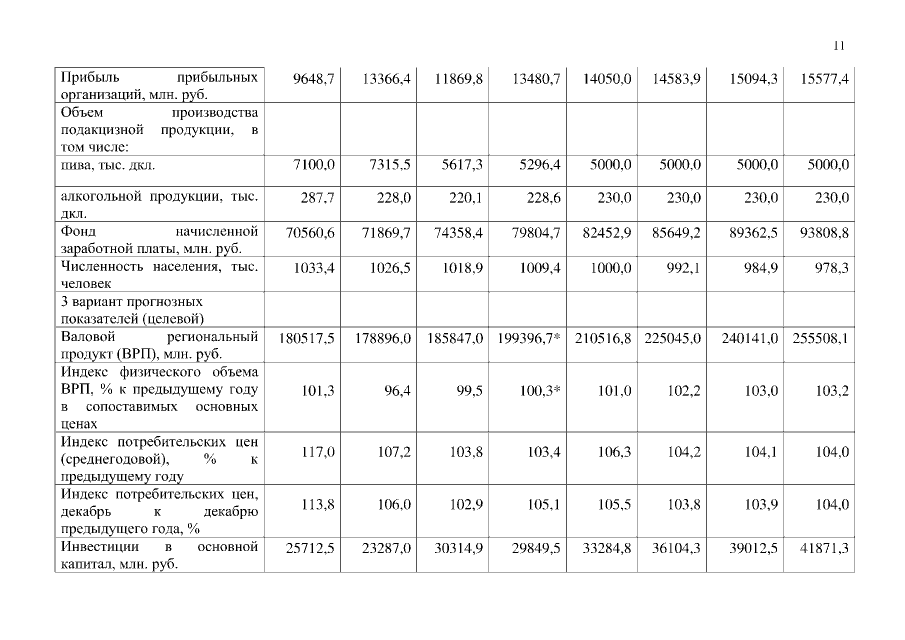
Постановление Правительства Ивановской области от 17.02.2020 № 61-п
"О внесении изменений в постановление Правительства Ивановской области от 15.02.2017 № 41-п "Об утверждении бюджетного прогноза Ивановской области на 2017 – 2030 годы"
Номер опубликования: 3700202002180001
Дата опубликования: 18.02.2020
Страница №11 из 26:
Увеличить