Официальное опубликование правовых актов
ОФИЦИАЛЬНОЕ ОПУБЛИКОВАНИЕ
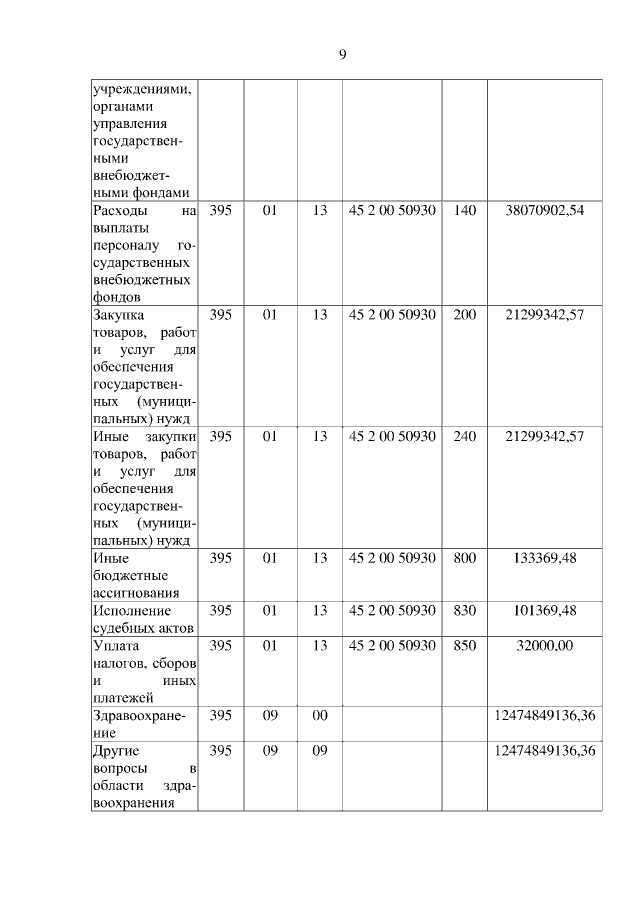
Закон Ивановской области от 18.11.2019 № 62-ОЗ
"О внесении изменений в Закон Ивановской области "О бюджете территориального фонда обязательного медицинского страхования Ивановской области на 2019 год и на плановый период 2020 и 2021 годов"
Номер опубликования: 3700201911190007
Дата опубликования: 19.11.2019
Страница №9 из 18:
Увеличить