Официальное опубликование правовых актов
ОФИЦИАЛЬНОЕ ОПУБЛИКОВАНИЕ
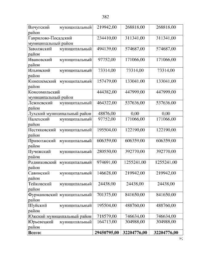
Закон Ивановской области от 28.10.2019 № 54-ОЗ
"О внесении изменений в Закон Ивановской области "Об областном бюджете на 2019 год и на плановый период 2020 и 2021 годов"
Номер опубликования: 3700201910280001
Дата опубликования: 28.10.2019
Страница №382 из 391:
Увеличить