Официальное опубликование правовых актов
ОФИЦИАЛЬНОЕ ОПУБЛИКОВАНИЕ
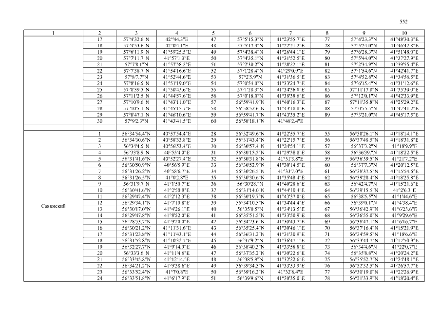
Указ Губернатора Ивановской области от 11.10.2019 № 95-уг
"Об утверждении схемы размещения, использования и охраны охотничьих угодий на территории Ивановской области"
Номер опубликования: 3700201910140001
Дата опубликования: 14.10.2019
Страница №552 из 556:
Увеличить