Официальное опубликование правовых актов
ОФИЦИАЛЬНОЕ ОПУБЛИКОВАНИЕ
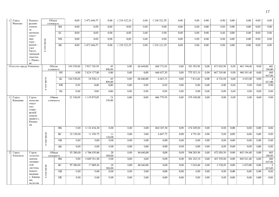
Постановление Правительства Ивановской области от 31.07.2019 № 293-п
"О внесении изменений в постановления Правительства Ивановской области от 13.11.2013 № 452-п "Об утверждении государственной программы Ивановской области "Охрана окружающей среды Ивановской области" и от 06.12.2017 № 458-п "Об утверждении государственной программы Ивановской области "Обеспечение услугами жилищно-коммунального хозяйства населения Ивановской области"
Номер опубликования: 3700201908060016
Дата опубликования: 06.08.2019
Страница №17 из 38:
Увеличить