Официальное опубликование правовых актов
ОФИЦИАЛЬНОЕ ОПУБЛИКОВАНИЕ
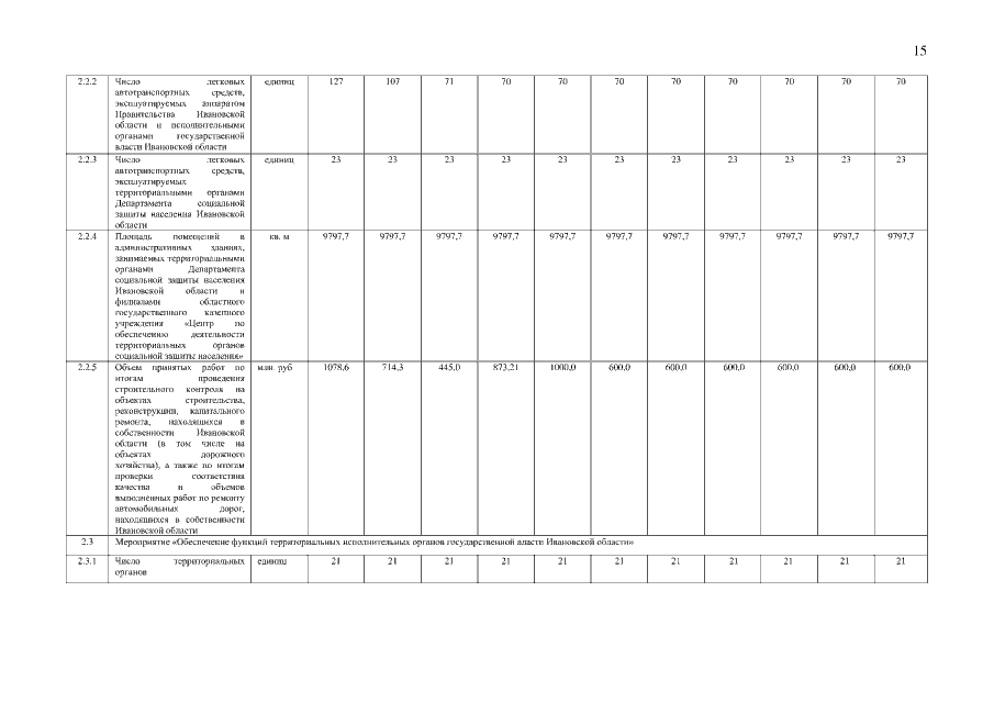
Постановление Правительства Ивановской области от 28.01.2019 № 13-п
"О внесении изменений в постановление Правительства Ивановской области от 13.11.2013 № 454-п "Об утверждении государственной программы Ивановской области "Совершенствование институтов государственного управления и местного самоуправления Ивановской области"
Номер опубликования: 3700201901300002
Дата опубликования: 30.01.2019
Страница №15 из 52:
Увеличить