Официальное опубликование правовых актов
ОФИЦИАЛЬНОЕ ОПУБЛИКОВАНИЕ
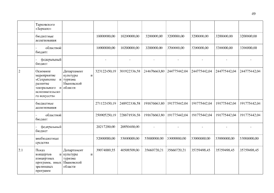
Постановление Правительства Ивановской области от 21.01.2019 № 7-п
"О внесении изменений в постановление Правительства Ивановской области от 06.12.2017 № 455-п "Об утверждении государственной программы Ивановской области "Развитие культуры и туризма в Ивановской области"
Номер опубликования: 3700201901220002
Дата опубликования: 22.01.2019
Страница №49 из 71:
Увеличить