Официальное опубликование правовых актов
ОФИЦИАЛЬНОЕ ОПУБЛИКОВАНИЕ
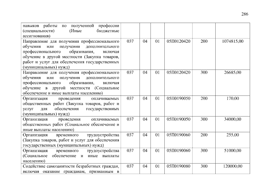
Закон Ивановской области от 02.07.2018 № 36-ОЗ
"О внесении изменений в Закон Ивановской области "Об областном бюджете на 2018 год и на плановый период 2019 и 2020 годов"
Номер опубликования: 3700201807040001
Дата опубликования: 04.07.2018
Страница №286 из 349:
Увеличить