Официальное опубликование правовых актов
ОФИЦИАЛЬНОЕ ОПУБЛИКОВАНИЕ
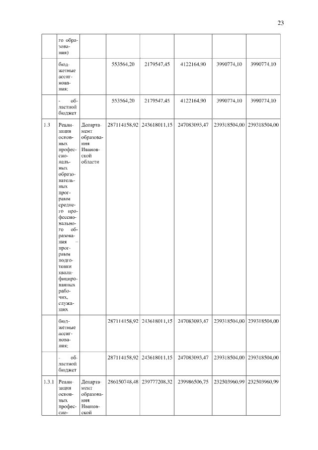
Постановление Правительства Ивановской области от 30.05.2018 № 141-п
"О внесении изменений в постановление Правительства Ивановской области от 13.11.2013 № 450-п "Об утверждении государственной программы "Развитие образования Ивановской области"
Номер опубликования: 3700201805310012
Дата опубликования: 31.05.2018
Страница №23 из 39:
Увеличить