Официальное опубликование правовых актов
ОФИЦИАЛЬНОЕ ОПУБЛИКОВАНИЕ
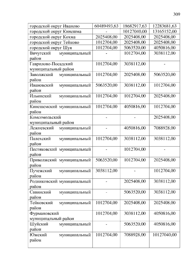
Закон Ивановской области от 27.04.2018 № 19-ОЗ
"О внесении изменений в Закон Ивановской области "Об областном бюджете на 2018 год и на плановый период 2019 и 2020 годов"
Номер опубликования: 3700201804280004
Дата опубликования: 28.04.2018
Страница №309 из 312:
Увеличить