Официальное опубликование правовых актов
ОФИЦИАЛЬНОЕ ОПУБЛИКОВАНИЕ
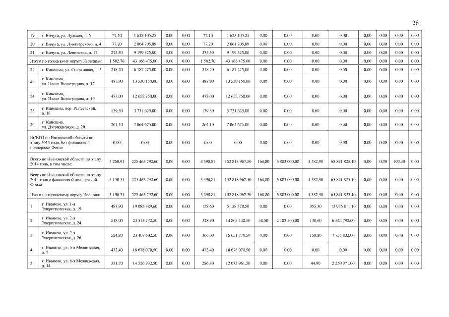
Постановление Правительства Ивановской области от 26.03.2018 № 69-п
"О внесении изменений в постановление Правительства Ивановской области от 15.04.2013 № 134-п "Об утверждении региональной адресной программы "Переселение граждан из аварийного жилищного фонда на территории Ивановской области на 2013 – 2017 годы"
Номер опубликования: 3700201803280001
Дата опубликования: 28.03.2018
Страница №28 из 54:
Увеличить