Официальное опубликование правовых актов
ОФИЦИАЛЬНОЕ ОПУБЛИКОВАНИЕ
Указ Губернатора Ивановской области от 26.02.2018 № 27-уг
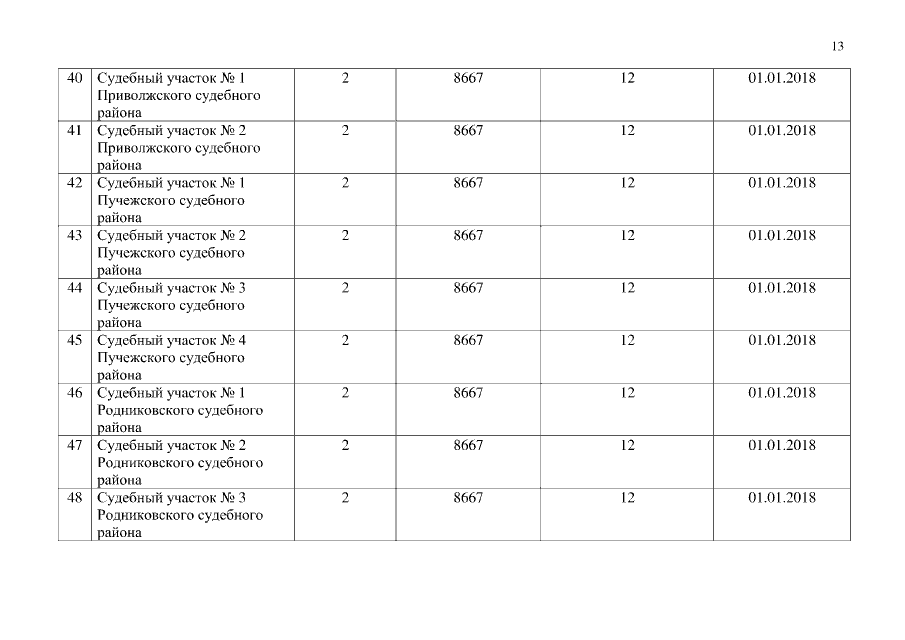
"О внесении изменений в указ Губернатора Ивановской области от 18.12.2012 № 241-уг "О предельной численности, фонде оплаты труда и ежемесячном денежном поощрении государственных гражданских служащих Ивановской области"
Номер опубликования: 3700201802270003
Дата опубликования: 27.02.2018
Страница №13 из 15:
Увеличить