Официальное опубликование правовых актов
ОФИЦИАЛЬНОЕ ОПУБЛИКОВАНИЕ
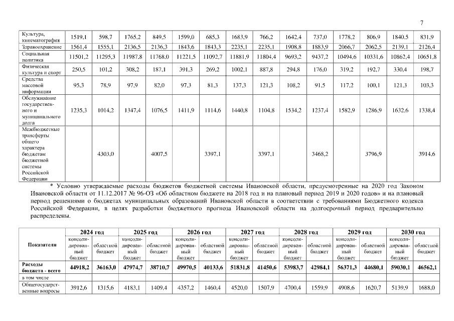
Постановление Правительства Ивановской области от 08.02.2018 № 29-п
"О внесении изменений в постановление Правительства Ивановской области от 15.02.2017 № 41-п "Об утверждении бюджетного прогноза Ивановской области на 2017 – 2030 годы"
Номер опубликования: 3700201802090006
Дата опубликования: 09.02.2018
Страница №7 из 26:
Увеличить