Официальное опубликование правовых актов
ОФИЦИАЛЬНОЕ ОПУБЛИКОВАНИЕ
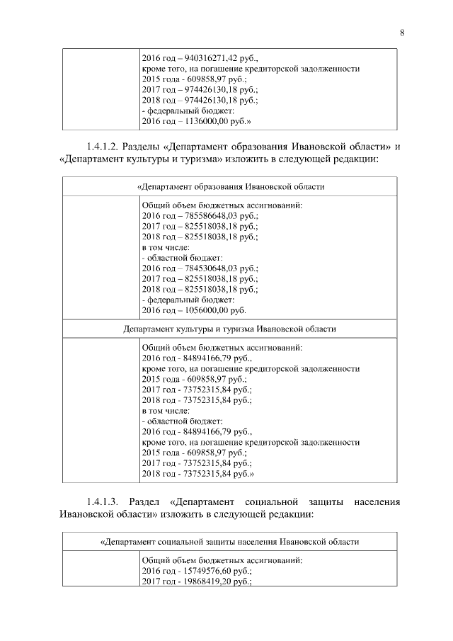
Постановление Правительства Ивановской области от 29.12.2016 № 461-п
"О внесении изменений в постановление Правительства Ивановской области от 13.11.2013 № 450-п "Об утверждении государственной программы "Развитие образования Ивановской области"
Номер опубликования: 3700201612310003
Дата опубликования: 31.12.2016
Страница №8 из 50:
Увеличить