Постановление Правительства Ивановской области от 24.11.2016 № 394-п
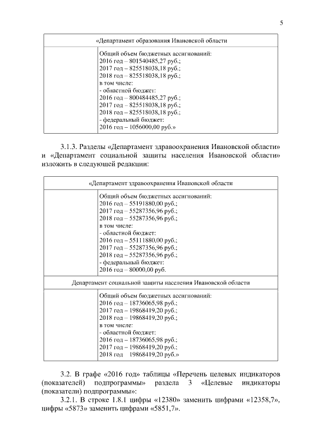
"О внесении изменений в постановление Правительства Ивановской области от 13.11.2013 № 450-п "Об утверждении государственной программы "Развитие образования Ивановской области"
"О внесении изменений в постановление Правительства Ивановской области от 13.11.2013 № 450-п "Об утверждении государственной программы "Развитие образования Ивановской области"
Номер опубликования: 3700201611250007
Дата опубликования:
25.11.2016
