Официальное опубликование правовых актов
ОФИЦИАЛЬНОЕ ОПУБЛИКОВАНИЕ
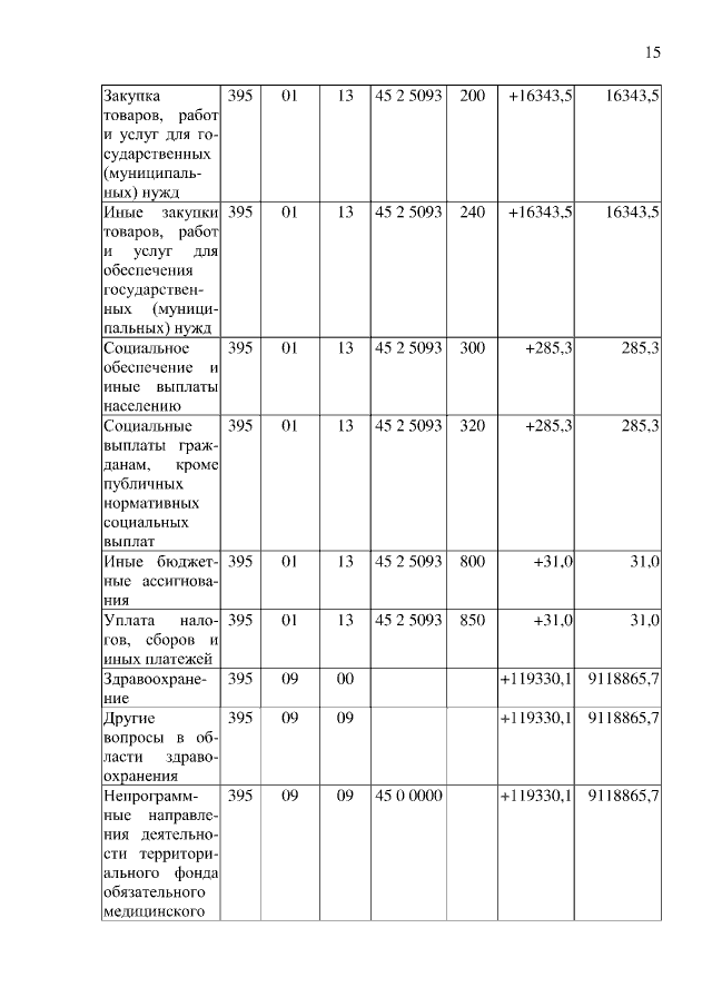
Закон Ивановской области от 22.12.2015 № 130-ОЗ
"О внесении изменений в Закон Ивановской области "О бюджете территориального фонда обязательного медицинского страхования Ивановской области на 2015 год и на плановый период 2016 и 2017 годов"
Номер опубликования: 3700201512240013
Дата опубликования: 24.12.2015
Страница №15 из 23:
Увеличить