Постановление Правительства Ивановской области от 09.12.2015 № 539-п
"О внесении изменений в постановление Правительства Ивановской области от 13.11.2013 № 458-п "Об утверждении государственной программы Ивановской области "Обеспечение доступным и комфортным жильем, объектами инженерной инфраструктуры и услугами жилищно-коммунального хозяйства населения Ивановской области"
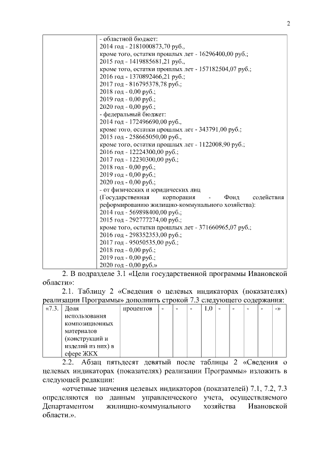
"О внесении изменений в постановление Правительства Ивановской области от 13.11.2013 № 458-п "Об утверждении государственной программы Ивановской области "Обеспечение доступным и комфортным жильем, объектами инженерной инфраструктуры и услугами жилищно-коммунального хозяйства населения Ивановской области"
Номер опубликования: 3700201512150002
Дата опубликования:
15.12.2015
