Официальное опубликование правовых актов
ОФИЦИАЛЬНОЕ ОПУБЛИКОВАНИЕ
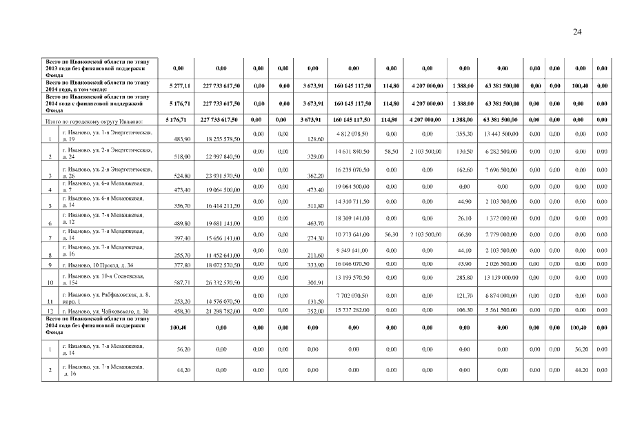
Постановление Правительства Ивановской области от 04.12.2015 № 530-п
"О внесении изменений в постановление Правительства Ивановской области от 15.04.2013 № 134-п "Об утверждении региональной адресной программы "Переселение граждан из аварийного жилищного фонда на территории Ивановской области на 2013 – 2017 годы"
Номер опубликования: 3700201512080006
Дата опубликования: 08.12.2015
Страница №24 из 47:
Увеличить