Официальное опубликование правовых актов
ОФИЦИАЛЬНОЕ ОПУБЛИКОВАНИЕ
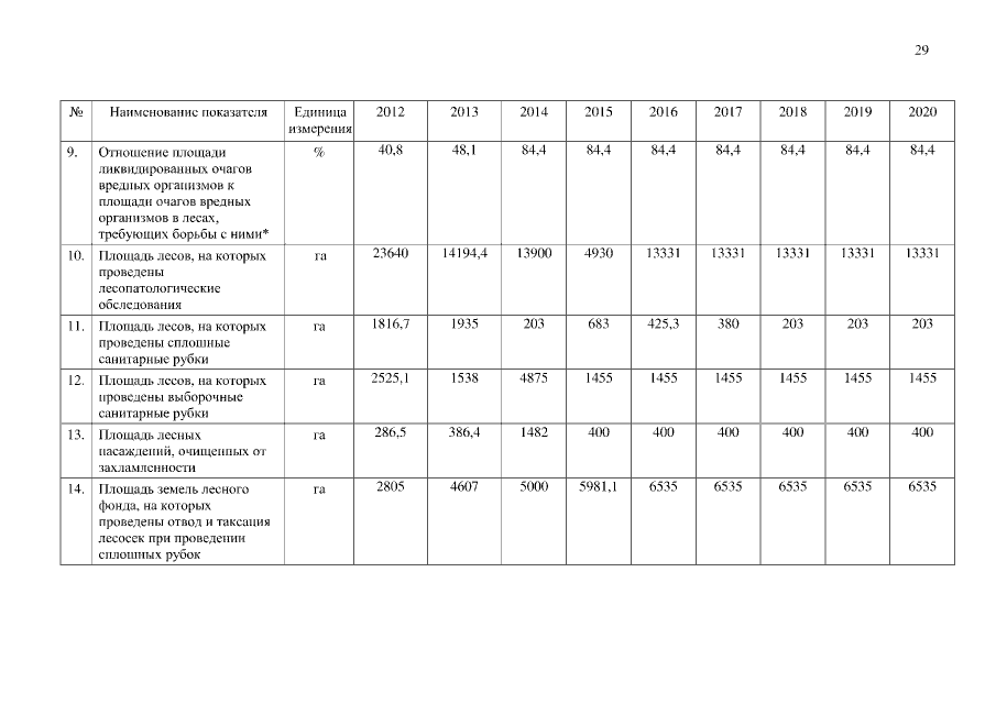
Постановление Правительства Ивановской области от 26.06.2015 № 311-п
"О внесении изменения в постановление Правительства Ивановской области от 13.11.2013 № 448-п "Об утверждении государственной программы Ивановской области "Развитие лесного хозяйства Ивановской области" на 2014 - 2020 годы"
Номер опубликования: 3700201507020009
Дата опубликования: 02.07.2015
Страница №29 из 72:
Увеличить