Официальное опубликование правовых актов
ОФИЦИАЛЬНОЕ ОПУБЛИКОВАНИЕ
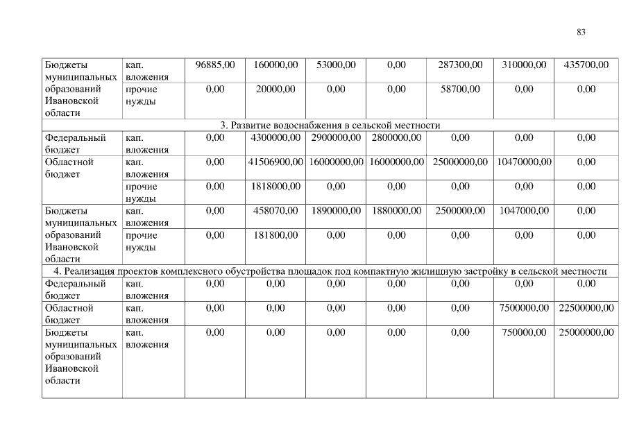
Постановление Правительства Ивановской области от 31.12.2014 № 590-п
"О внесении изменений в постановление Правительства Ивановской области от 13.11.2013 № 451-п "Об утверждении государственной программы Ивановской области "Развитие сельского хозяйства и регулирование рынков сельскохозяйственной продукции, сырья и продовольствия Ивановской области"
Номер опубликования: 3700201501040010
Дата опубликования: 04.01.2015
Страница №83 из 84:
Увеличить