Официальное опубликование правовых актов
ОФИЦИАЛЬНОЕ ОПУБЛИКОВАНИЕ
Приказ министерства архитектуры и градостроительства Воронежской области от 10.03.2026 № 45-01-04/108
"О внесении изменений в правила землепользования и застройки Пригородного сельского поселения Калачеевского муниципального района Воронежской области"
(Зарегистрирован 25.03.2026 № 286)
Номер опубликования: 3601202603260009
Дата опубликования: 26.03.2026
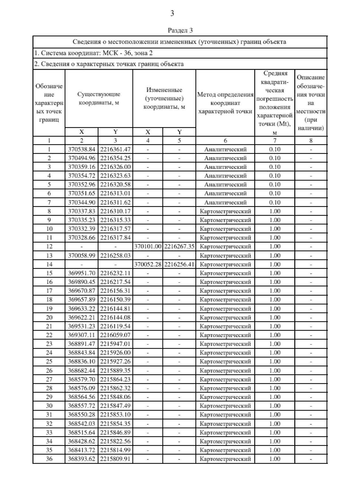
Страница №26 из 38:
Увеличить