Официальное опубликование правовых актов
ОФИЦИАЛЬНОЕ ОПУБЛИКОВАНИЕ
Приказ министерства архитектуры и градостроительства Воронежской области от 13.02.2026 № 45-01-04/72
"О внесении изменений в правила землепользования и застройки Песковского сельского поселения Павловского муниципального района Воронежской области"
(Зарегистрирован 11.03.2026 № 209)
Номер опубликования: 3601202603190015
Дата опубликования: 19.03.2026
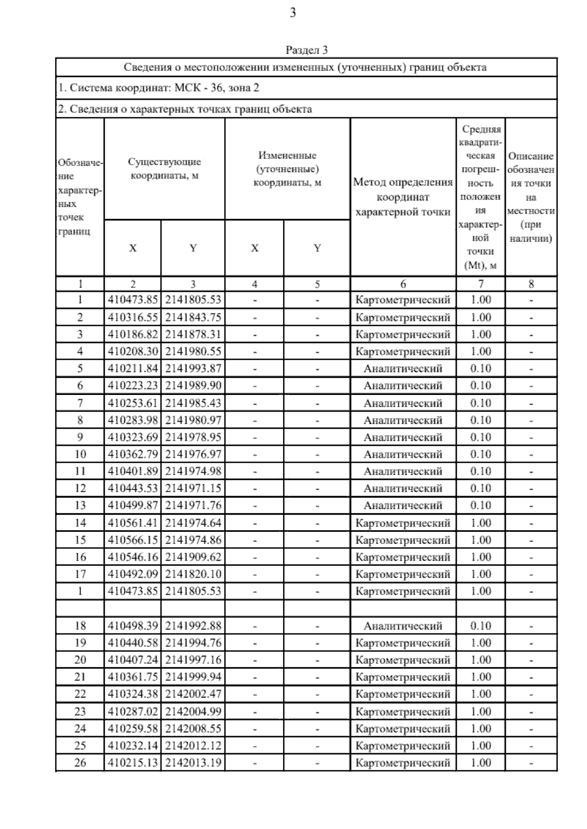
Страница №10 из 26:
Увеличить