Официальное опубликование правовых актов
ОФИЦИАЛЬНОЕ ОПУБЛИКОВАНИЕ
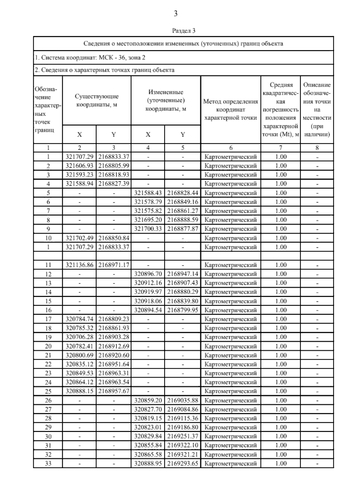
Приказ министерства архитектуры и градостроительства Воронежской области от 24.02.2026 № 45-01-04/87
"О внесении изменений в правила землепользования и застройки Твердохлебовского сельского поселения Богучарского муниципального района Воронежской области"
(Зарегистрирован 17.03.2026 № 242)
Номер опубликования: 3601202603190013
Дата опубликования: 19.03.2026
Страница №42 из 328:
Увеличить