Официальное опубликование правовых актов
ОФИЦИАЛЬНОЕ ОПУБЛИКОВАНИЕ
Приказ министерства архитектуры и градостроительства Воронежской области от 18.02.2026 № 45-01-04/78
"О внесении изменений в правила землепользования и застройки Малогрибановского сельского поселения Грибановского муниципального района Воронежской области"
(Зарегистрирован 11.03.2026 № 213)
Номер опубликования: 3601202603190009
Дата опубликования: 19.03.2026
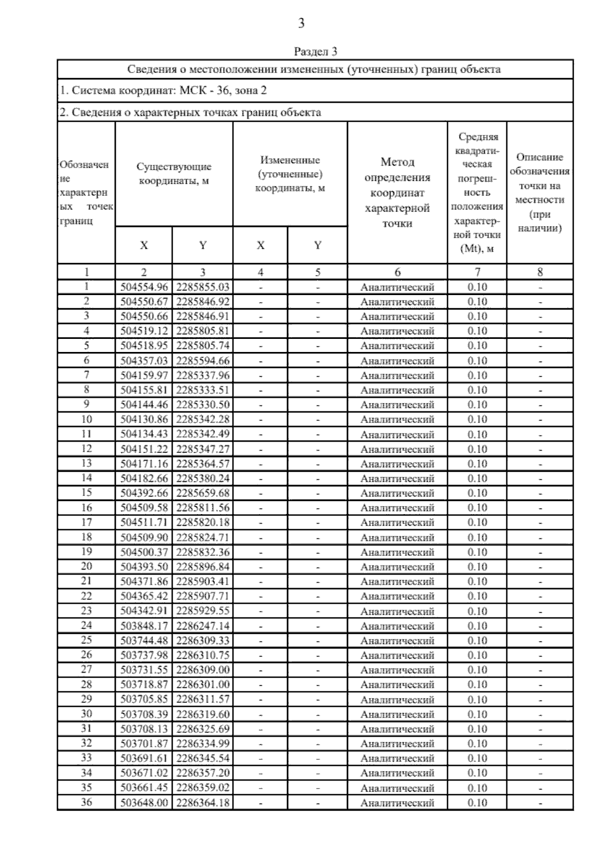
Страница №49 из 62:
Увеличить