Официальное опубликование правовых актов
ОФИЦИАЛЬНОЕ ОПУБЛИКОВАНИЕ
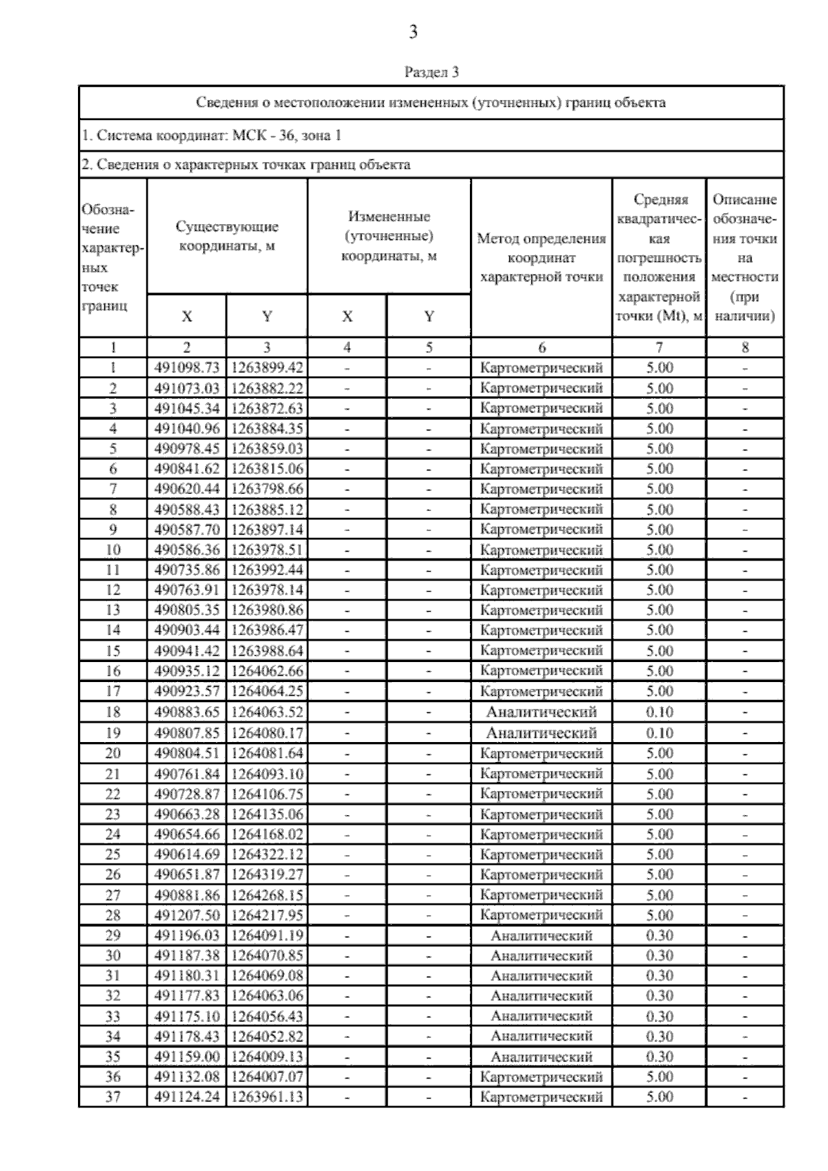
Приказ министерства архитектуры и градостроительства Воронежской области от 24.02.2026 № 45-01-04/86
"О внесении изменений в правила землепользования и застройки Староникольского сельского поселения Хохольского муниципального района Воронежской области"
(Зарегистрирован 17.03.2026 № 241)
Номер опубликования: 3601202603190008
Дата опубликования: 19.03.2026
Страница №14 из 100:
Увеличить