Официальное опубликование правовых актов
ОФИЦИАЛЬНОЕ ОПУБЛИКОВАНИЕ
Приказ министерства архитектуры и градостроительства Воронежской области от 24.02.2026 № 45-01-04/89
"О внесении изменений в правила землепользования и застройки Мечётского сельского поселения Бобровского муниципального района Воронежской области"
(Зарегистрирован 17.03.2026 № 244)
Номер опубликования: 3601202603190006
Дата опубликования: 19.03.2026
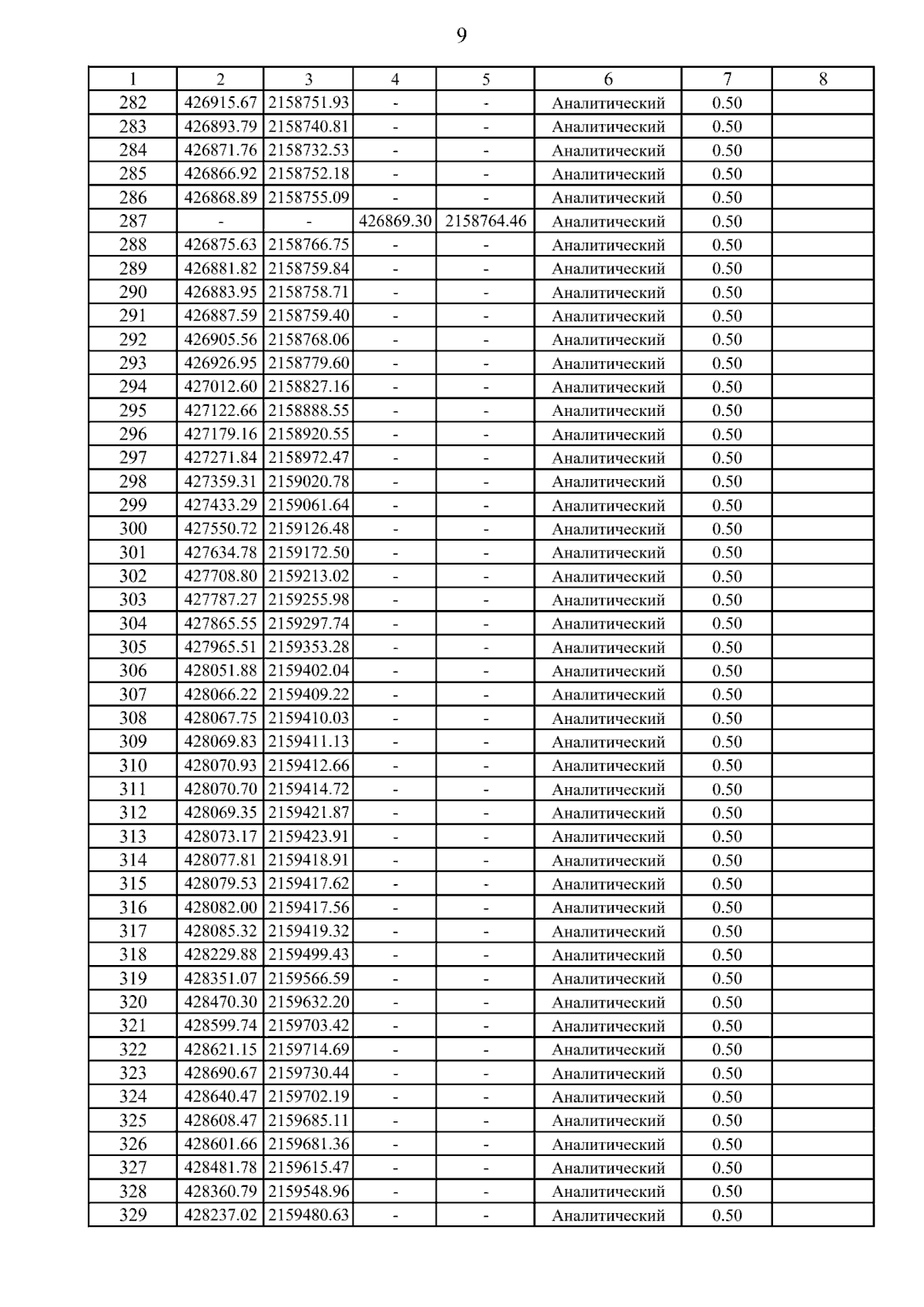
Страница №17 из 20:
Увеличить