Официальное опубликование правовых актов
ОФИЦИАЛЬНОЕ ОПУБЛИКОВАНИЕ
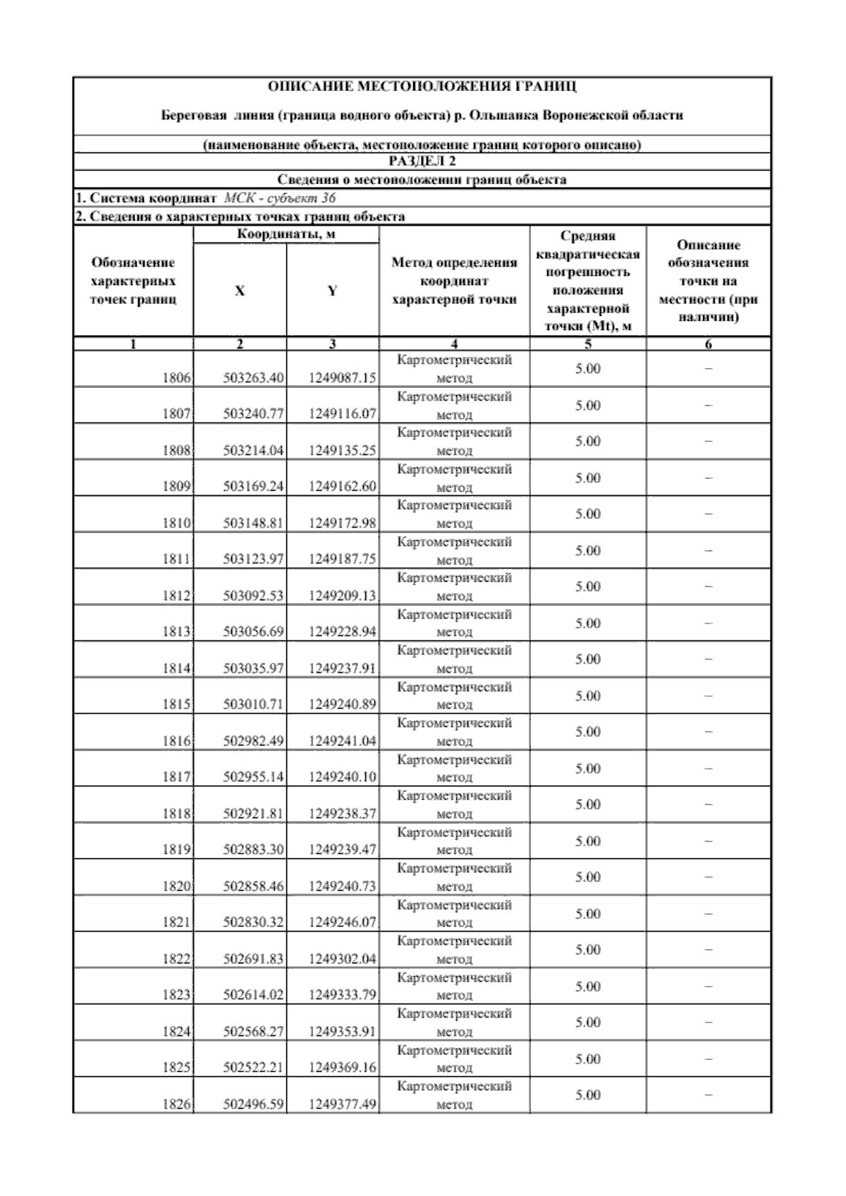
Приказ министерства природных ресурсов и экологии Воронежской области от 09.03.2022 № 78
"Об утверждении описания местоположения береговых линий (границ водного объекта), границ водоохранных зон и границ прибрежных защитных полос реки Ольшанка на территории Воронежской области"
(Зарегистрирован 26.02.2026 № 138)
Номер опубликования: 3601202603020007
Дата опубликования: 02.03.2026
Страница №96 из 307:
Увеличить