Официальное опубликование правовых актов
ОФИЦИАЛЬНОЕ ОПУБЛИКОВАНИЕ
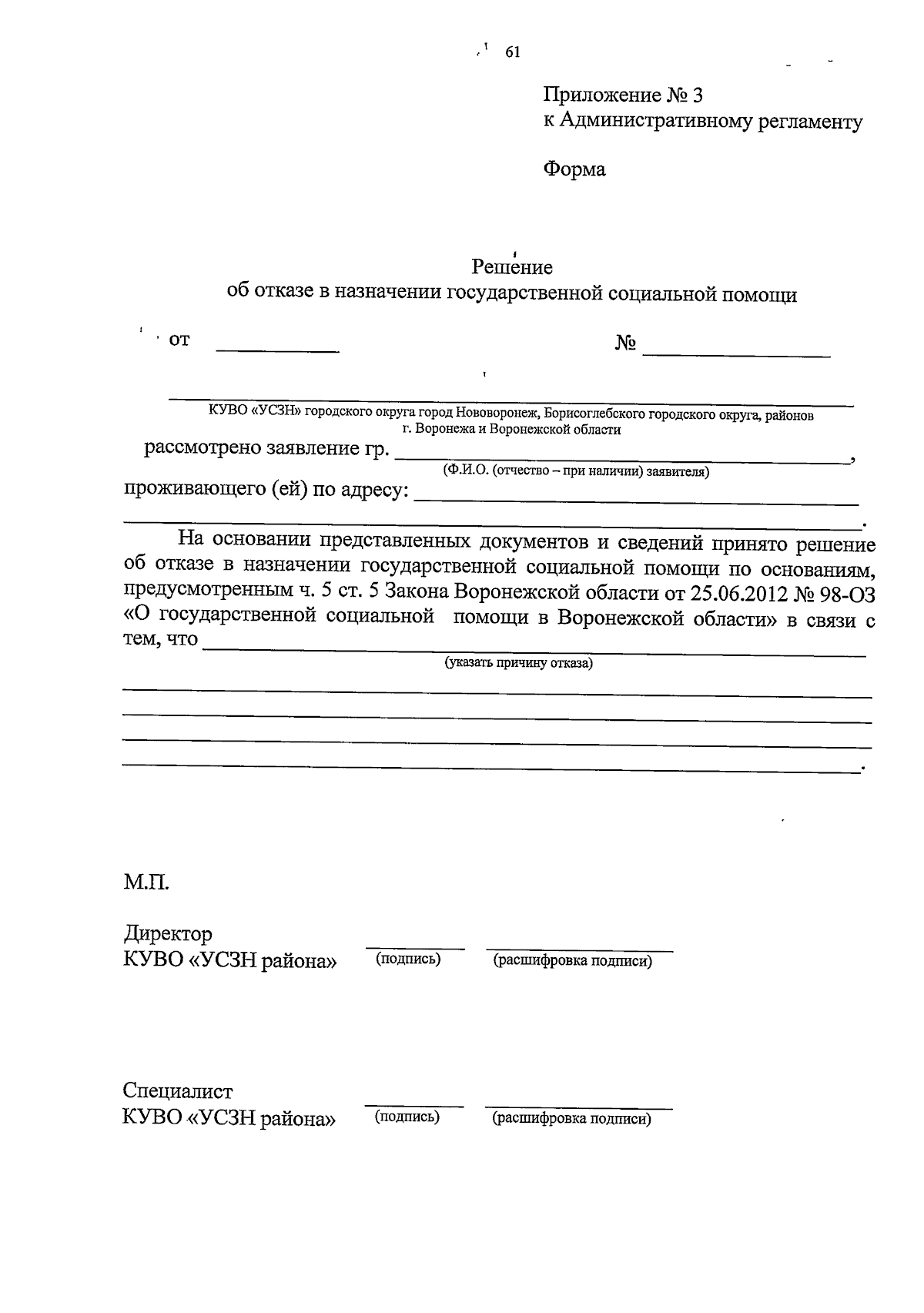
Приказ министерства социальной защиты Воронежской области от 20.01.2026 № 1/н
"О внесении изменений в приказ министерства социальной защиты Воронежской области от 20.02.2024 № 4/н"
(Зарегистрирован 02.02.2026 № 19)
Номер опубликования: 3601202602040015
Дата опубликования: 04.02.2026
Страница №63 из 68:
Увеличить