Официальное опубликование правовых актов
ОФИЦИАЛЬНОЕ ОПУБЛИКОВАНИЕ
Приказ министерства архитектуры и градостроительства Воронежской области от 13.01.2026 № 45-01-04/3
"О внесении изменений в правила землепользования и застройки Новогремяченского сельского поселения Хохольского муниципального района Воронежской области"
(Зарегистрирован 02.02.2026 № 13)
Номер опубликования: 3601202602030010
Дата опубликования: 03.02.2026
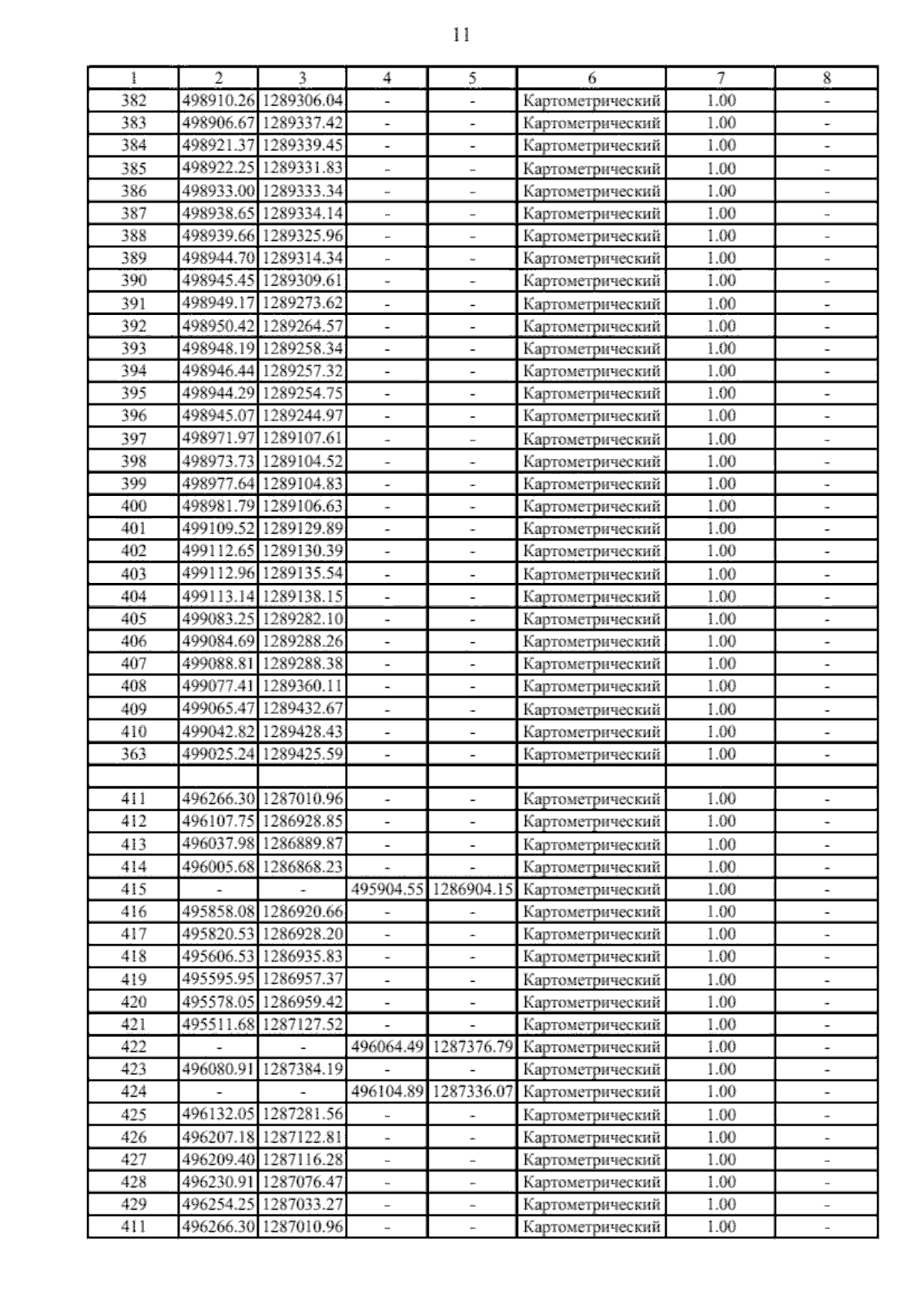
Страница №22 из 48:
Увеличить