Официальное опубликование правовых актов
ОФИЦИАЛЬНОЕ ОПУБЛИКОВАНИЕ
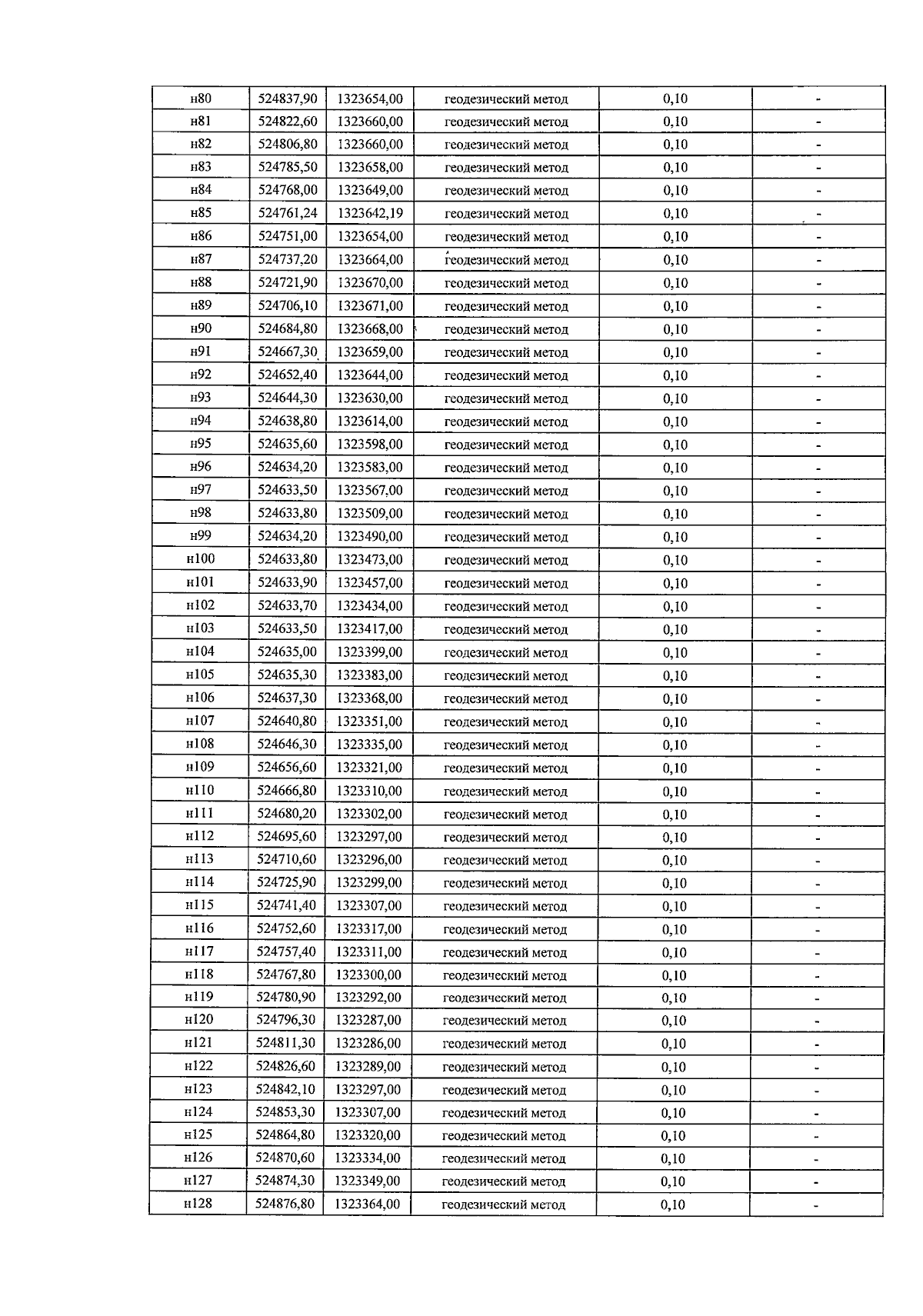
Приказ министерства природных ресурсов и экологии Воронежской области от 25.12.2025 № 560
"Об установлении зон санитарной охраны пяти существующих водозаборных скважин №№ 1, 2, 3, 4, 4а для питьевого, хозяйственно-бытового водоснабжения населения и организаций с. Углянец МКП УСП "УГЛЯНЕЦТЕПЛОСБЫТ"
(Зарегистрирован 26.01.2026 № 2087)
Номер опубликования: 3601202601300004
Дата опубликования: 30.01.2026
Страница №22 из 24:
Увеличить