Официальное опубликование правовых актов
ОФИЦИАЛЬНОЕ ОПУБЛИКОВАНИЕ
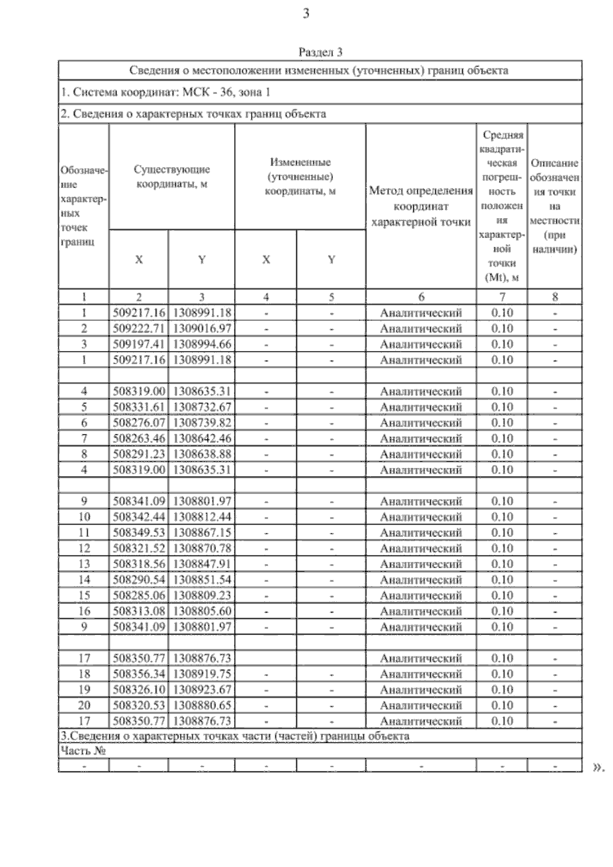
Приказ министерства архитектуры и градостроительства Воронежской области от 11.12.2025 № 45-01-04/581
"О внесении изменений в правила землепользования и застройки Отрадненского сельского поселения Новоусманского муниципального района Воронежской области"
(Зарегистрирован 23.12.2025 № 1652)
Номер опубликования: 3601202512290013
Дата опубликования: 29.12.2025
Страница №48 из 48:
Увеличить