Официальное опубликование правовых актов
ОФИЦИАЛЬНОЕ ОПУБЛИКОВАНИЕ
Приказ министерства тарифного регулирования Воронежской области от 25.12.2025 № 68/13
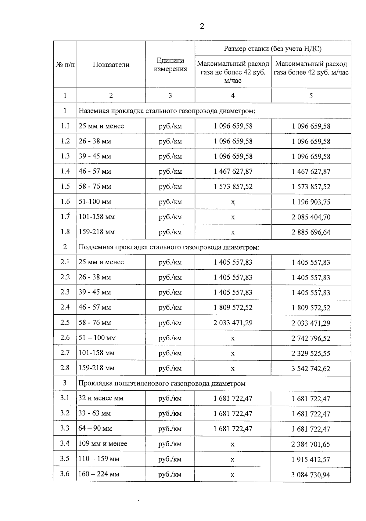
"Об установлении стандартизированных тарифных ставок на покрытие расходов общества с ограниченной ответственностью "ВоронежТехноГазСервис", определяющих величину платы за технологическое присоединение газоиспользующего оборудования к сетям газораспределения на территории Воронежской области, на 2026 год"
(Зарегистрирован 26.12.2025 № 1998)
Номер опубликования: 3601202512270106
Дата опубликования: 27.12.2025
Страница №14 из 17:
Увеличить