Официальное опубликование правовых актов
ОФИЦИАЛЬНОЕ ОПУБЛИКОВАНИЕ
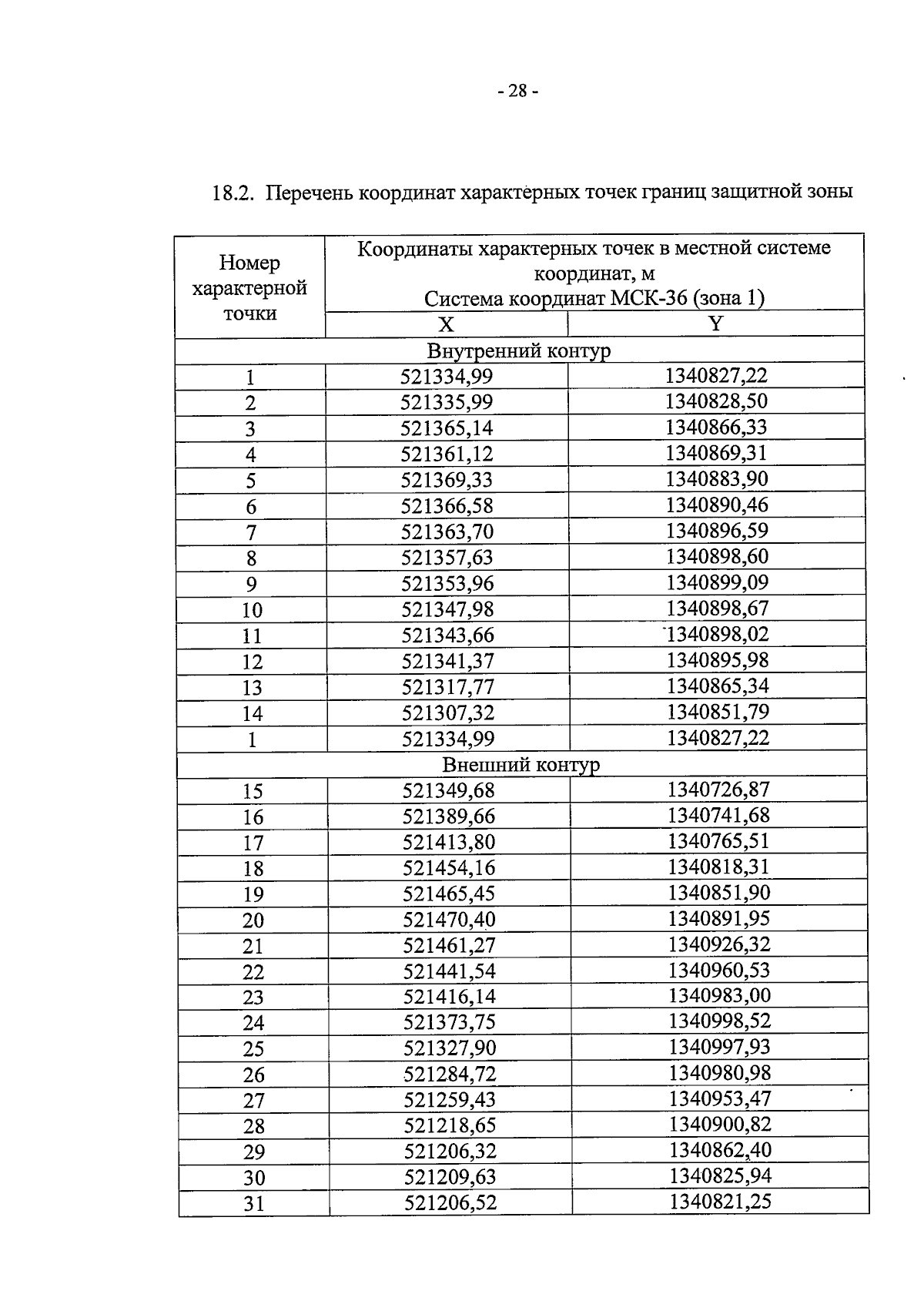
Приказ управления по охране объектов культурного наследия Воронежской области от 05.11.2025 № 71-01-05/191
"О внесении изменений в приказ управления по охране объектов культурного наследия Воронежской области от 10.09.2019 № 71-01-07/218"
(Зарегистрирован 25.11.2025 № 1318)
Номер опубликования: 3601202511270005
Дата опубликования: 27.11.2025
Страница №28 из 35:
Увеличить