Официальное опубликование правовых актов
ОФИЦИАЛЬНОЕ ОПУБЛИКОВАНИЕ
Приказ управления по охране объектов культурного наследия Воронежской области от 05.11.2025 № 71-01-05/190
"О внесении изменений в приказ управления по охране объектов культурного наследия Воронежской области от 28.11.2019 № 71-01-07/327"
(Зарегистрирован 25.11.2025 № 1317)
Номер опубликования: 3601202511270004
Дата опубликования: 27.11.2025
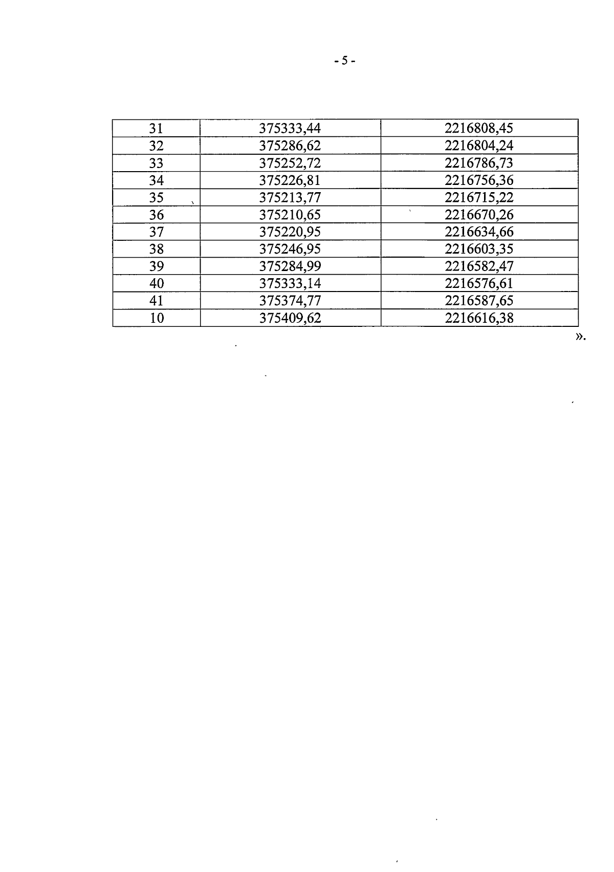
Страница №5 из 11:
Увеличить