Официальное опубликование правовых актов
ОФИЦИАЛЬНОЕ ОПУБЛИКОВАНИЕ
Приказ министерства архитектуры и градостроительства Воронежской области от 30.10.2025 № 45-01-04/542
"О внесении изменений в правила землепользования и застройки городского поселения – город Россошь Россошанского муниципального района Воронежской области"
(Зарегистрирован 25.11.2025 № 1321)
Номер опубликования: 3601202511270003
Дата опубликования: 27.11.2025
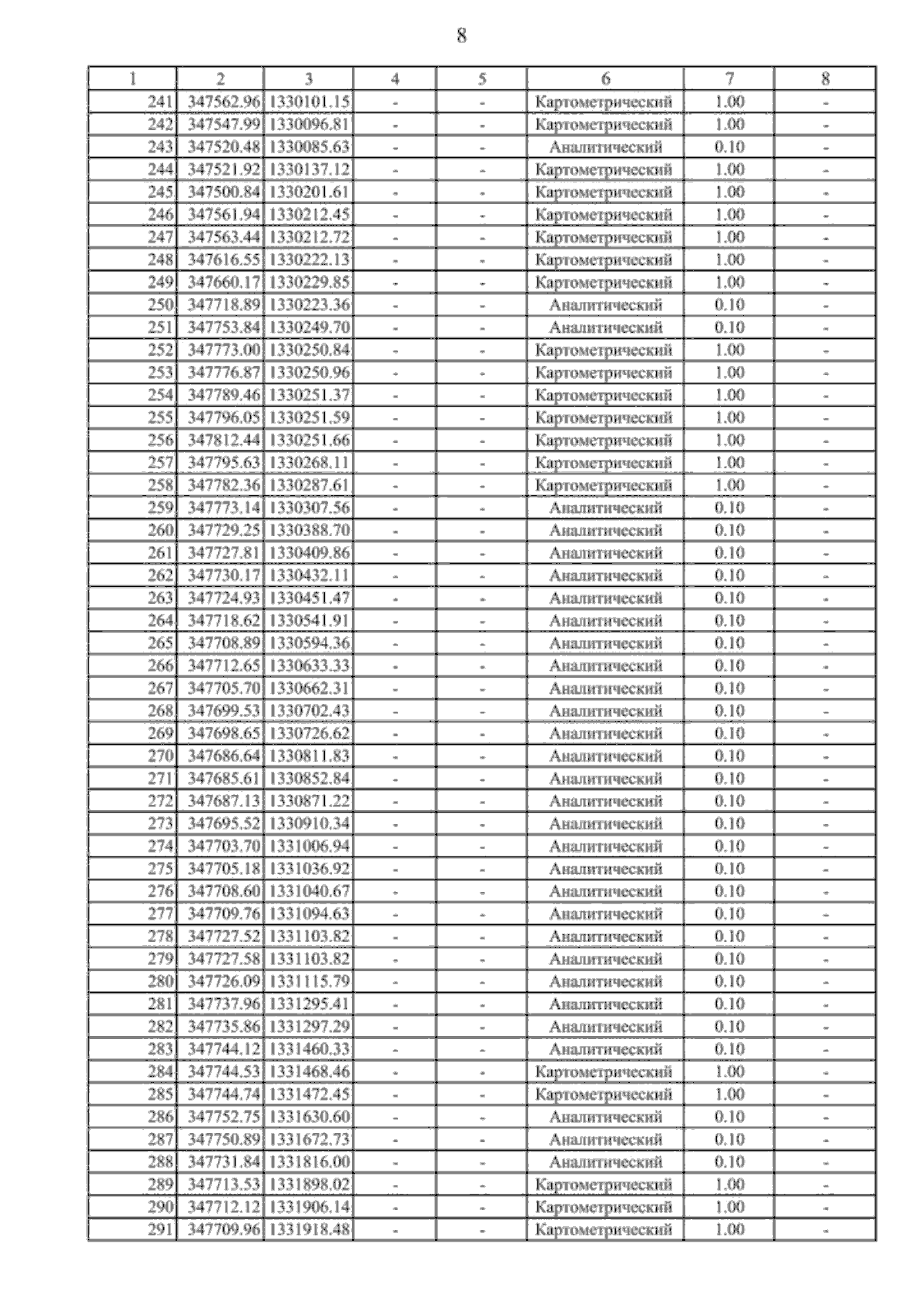
Страница №352 из 453:
Увеличить