Официальное опубликование правовых актов
ОФИЦИАЛЬНОЕ ОПУБЛИКОВАНИЕ
Приказ министерства природных ресурсов и экологии Воронежской области от 24.10.2025 № 439
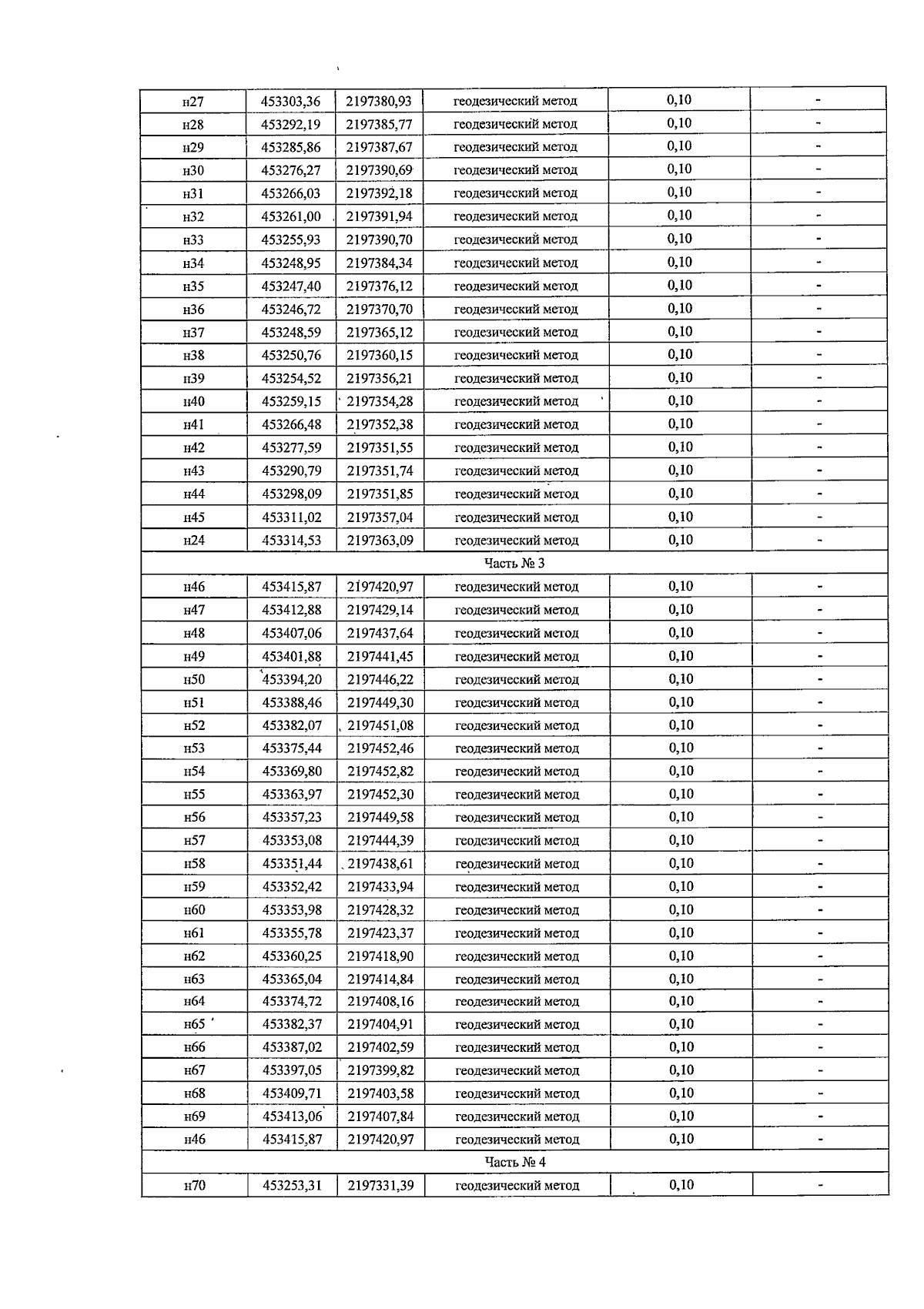
"Об установлении зон санитарной охраны пяти существующих водозаборных скважин № 9/1, № 10/2, № 11/3, № 12/4, № 13/5 для питьевого, хозяйственно-бытового, технического водоснабжения железнодорожной станции Таловая Юго-Восточной дирекции по тепловодоснабжению - с.п. Центральной ДТВ - филиала ОАО "РЖД" и сторонних потребителей"
(Зарегистрирован 06.11.2025 № 1261)
Номер опубликования: 3601202511100010
Дата опубликования: 10.11.2025
Страница №15 из 25:
Увеличить